What is a GGFG Linker?

What is a GGFG Linker?

Published by BroadPharm on October 17, 2025

GGFG linker is a cleavable peptide linker used in antibody-drug conjugates (ADCs), GGFG refers to the glycyl-glycyl-phenylalanyl-glycine (GGFG) tetrapeptide sequence.

GGFG-based linkers are used in several ADCs, such as FDA-approved Trastuzumab deruxtecan, also known as ENHERTU.

Figure 1: Trastuzumab Deruxtecan


As an antibody-drug conjugate (ADC) medication, Trastuzumab deruxtecan is used to treat certain types of HER2-positive breast cancer and gastroesophageal junction cancer. Trastuzumab deruxtecan consists of the humanized monoclonal antibody trastuzumab (Herceptin) linked with the topoisomerase I inhibitor deruxtecan through a GGFG linker. Additionally, once bound to HER2 receptors, the antibody is internalized by the cell, carrying the bound deruxtecan along with it, where it interferes with the cell's ability to make DNA structural changes and replicate its DNA during cell division, leading to DNA damage when the cell attempts to replicate itself, destroying the cell (Armstrong).

Key features of GGFG linkers:

GGFG-payload linkage is stable in the bloodstream but can be cleaved by enzymes, such as cathepsins in the lysosome, to release the anti-cancer drug after the ADC is internalized into a tumor cell, as shown in example Figure 2. The peptide sequence also provides a balance of flexibility for molecular interactions and stability to withstand physiological conditions (Balamkundu).

Figure 2: Deruxtecan


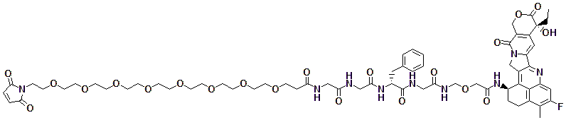
To further empower ADC research, BroadPharm developed PEG-attached Deruxtecan for enhancing solubility in aqueous media and also fine tuning DMPK properties (Figure 3).

Figure 3: Mal-PEG8-Gly-Gly-Phe-Gly-DXD from BroadPharm


GGFG linker Supplier

As a leading ADC linker & PEG linker supplier worldwide, BroadPharm offers a varieties of GGFG linkers with different attached groups, solubility friendly PEG-GGFG linker, Payload attached GGFG linkers to develop next stage antibody drug conjugate..

References

Armstrong, G. B., Graham, H., Cheung, A., Montaseri, H., Burley, G. A., Karagiannis, S. N., & Rattray, Z. (2025). Antibody-drug conjugates as multimodal therapies against hard-to-treat cancers. Advanced Drug Delivery Reviews, 115648.

Balamkundu, S., & Liu, C. F. (2023). Lysosomal-cleavable peptide linkers in antibody-drug conjugates. Biomedicines, 11(11), 3080.